复习了一下优化的主要形式, 这里关于一些重点做一下笔记.

关于二次规划的H矩阵

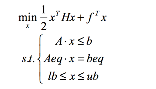
二次规划的标准形式如下.

在matlab中二次规划可以用quadprog, 一次规划用linprog, 0-1规划用bintprog, 最简单的就是fminbnd了, 另外常用的就是fminunc, fmincon, fzero, 对最大最小问题, 一般转换成最小问题解, 这在mathematica和lingo里面都是这样处理的, 但是matlab里面有内置的函数fminmax, 第一个参数为一个行向量, 为取最大的一个, 多目标用fgoalattain, 这个感觉实用性不是很大.
对于quadprog, matlab里面调用方法如下.

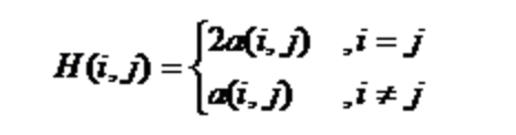
主要是这里标准形式的H矩阵有点难理解.
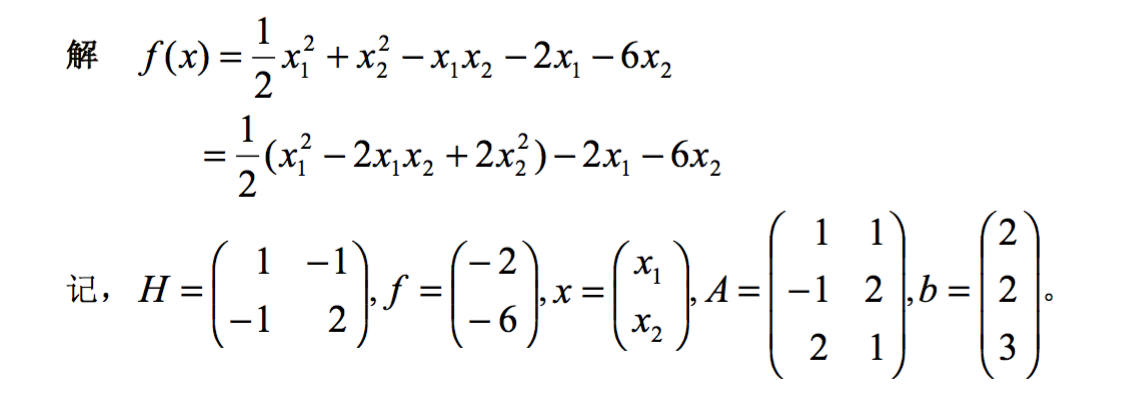
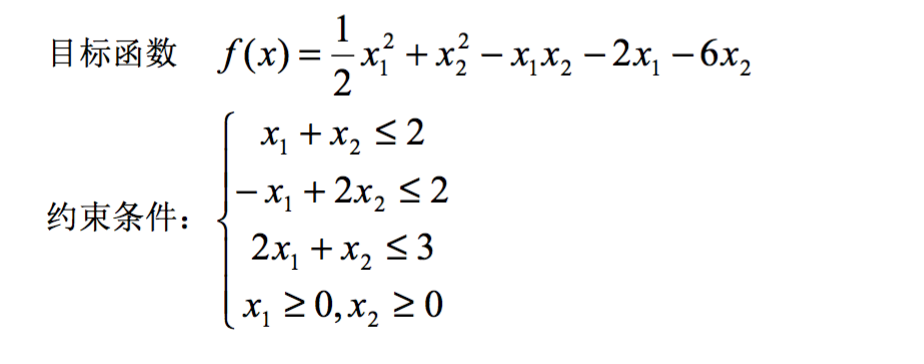
以一个例子来看

其解法如下

其中的f向量比较好理解, 对于H矩阵, 其具体求法去下.

所以剩下的简单了.